Desvio linear Forsaken Motorsport Aprilia RSV 4/RR/RF/1100 Factory (17-26)
Desvio linear Forsaken Motorsport Aprilia RSV 4/RR/RF/1100 Factory (17-26)
Só restam 2!
Desvio Linear – Para Aprilia RSV4/RR/RF/1100 Factory (2017–2026) da Forsaken Motorsport
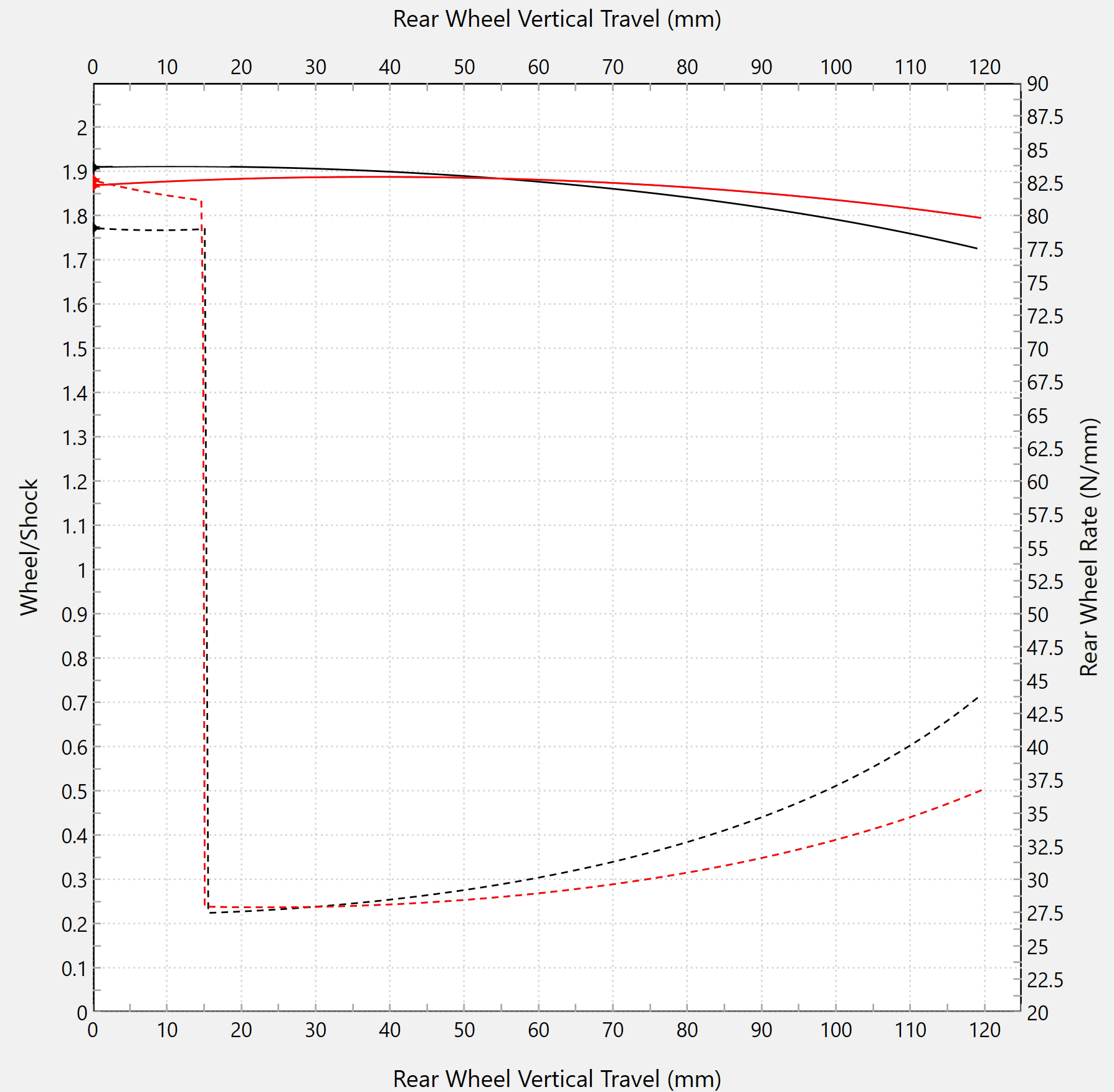
O desvio linear da Forsaken Motorsport foi desenvolvido especificamente para a Aprilia RSV4. Projetado com o software MotoSpec, proporciona uma taxa de suspensão mais uniforme, melhora a tração e otimiza a transmissão de potência. Perfeito para pilotos que desejam extrair o máximo de sua máquina.
Características e Vantagens:
- Taxa de suspensão otimizada:
- Transforma a taxa de suspensão progressiva em uma mais linear, para mais tração e melhor transmissão de potência.
- Fabricação precisa:
- Usinado em CNC a partir de um bloco de alumínio com a Haas VM3, internamente na Forsaken Motorsport no Canadá.
- Alta estabilidade:
- 35 % mais rígido que o desvio original, reduzindo a deformação sob carga.
- Personalizável:
- A mola original ainda pode ser utilizada, mas pode ser substituída de acordo com a preferência do piloto.
- Controle de válvula ajustável para uma utilização otimizada da taxa progressiva mais baixa.
- Instalação simples:
- Fornecido com novos rolamentos; parafusos, buchas e vedantes originais podem ser reutilizados.
Dados técnicos:
- Componentes do kit:
- Dois braços de desvio.
- Um braço de desvio.
- Aviso:
- Apenas adequado para operação de piloto único, não é possível operação com passageiro.
Abholverfügbarkeit konnte nicht geladen werden
Sobre Nós
Sobre Nós
A nossa paixão pela qualidade e inovação nos impulsiona a oferecer os melhores produtos e serviços para amantes de motos. Desde peças de alto desempenho exclusivas até soluções personalizadas – a sua experiência de condução está no centro de tudo o que fazemos.
Envios e Devoluções
Envios e Devoluções
Enviamos com DHL e FedEx — se desejar, também por expresso. Se um artigo estiver em stock, o envio expresso pode, em muitos casos, ser feito dentro de 1 dia útil. O prazo de entrega regular é de cerca de 2 a 5 dias úteis a nível nacional e, normalmente, cerca de 1 semana a nível mundial. Por favor, verifique as opções de envio disponíveis e os prazos no carrinho, pois oferecemos vários prestadores de serviços de envio dependendo do país.
As devoluções devem ser notificadas por e-mail com antecedência e são possíveis de acordo com a nossa política de cancelamento (14 dias para solicitar a devolução + 14 dias para o envio após aprovação). Por favor, note: Devoluções não notificadas não serão aceites. Todos os detalhes sobre condições, exceções e reembolsos podem ser encontrados na nossa política de cancelamento.
As suas informações de pagamento são processadas de forma segura. Não armazenamos dados de cartões de crédito e não temos acesso às suas informações de cartão de crédito.
Mais informações nas nossas FAQs
Envie um e-mail para a nossa equipe – nós responderemos o mais rápido possível.
Quanto tempo leva para processar o meu pedido?
Quanto tempo leva para processar o meu pedido?
Se o item estiver em estoque, geralmente processamos seu pedido muito rapidamente, muitas vezes ainda no mesmo dia.
Nossos horários de processamento são de segunda a sexta, das 07:30 às 16:30.
Vocês enviam internacionalmente?
Vocês enviam internacionalmente?
Sim, enviamos para todo o mundo. O envio é feito dependendo do país e da escolha com DHL ou FedEx.
Qual é a vossa política de devolução?
Qual é a vossa política de devolução?
As devoluções devem ser registradas previamente por e-mail. Você pode solicitar uma devolução dentro de 14 dias após o recebimento e tem mais 14 dias após a aprovação para o retorno.
Importante: Devoluções não registradas não serão aceitas. Todos os detalhes podem ser encontrados na nossa política de cancelamento.
O que significa "tempo de entrega sob consulta"?
O que significa "tempo de entrega sob consulta"?
"Tempo de entrega sob consulta" significa que o item geralmente não está disponível em estoque e pode precisar ser encomendado. Por favor, entre em contato conosco antes da compra – verificaremos a disponibilidade e informaremos o prazo de entrega previsto.
Vocês oferecem envio expresso?
Vocês oferecem envio expresso?
Sim, oferecemos envio expresso. Se um item estiver em estoque, o envio pode, em muitos casos, ser feito dentro de 1 dia útil (dependendo do país e da opção de envio). As opções de envio disponíveis podem ser vistas no carrinho.

